Comment empêcher la fondation de la structure en acier de couler de la plate-forme de fondation, lorsque l’usine de structures en acier atteint 25 kg par mètre carré, le chapeau de fondation doit atteindre une hauteur de 1 m, une largeur de 1 m et une profondeur de 1 m, ainsi que des cendres dans chaque mètre carré est plus que 35KG. L'atelier de structures en acier doit être constitué d'une poutre circulaire et d'une fondation de 1,2 mètre, et doit également reposer sur le sol lui-même.
Quand l'atelier de construction métallique est terminé et qu'aucun investissement préalable n'a été fait, comment pouvons-nous empêcher l'atelier de construction métallique de couler? En termes simples, il est renforcé et tous les piliers de la structure en acier sont recouverts de poutrelles en I ou de profilés en acier. , formant un maillage. Cette méthode peut empêcher l’affaissement des fondations d’une usine de fabrication de structures en acier.
Ces dernières années, les ateliers de fabrication de structures en acier ont été largement utilisés en génie du charbon en raison de leur poids léger, de leurs performances sismiques supérieures, de leur structure flexible et de leur traitement et installation rapides. Cet article ne traite que des bâtiments d'usine à un étage (ci-après dénommés «bâtiments à structure en acier») constitués de structures en acier de faible épaisseur et de structures à poutres en acier avec une structure en acier à pignon ou un panneau sandwich pour des structures à enveloppe. En raison du faible poids de la structure supérieure, la force axiale exercée sur le bas de la colonne est relativement faible dans les bâtiments d’aciérie avec un tonnage élevé de grues et le moment de flexion est relativement grand, ce qui entraîne une grande excentricité de la fondation, ce qui apporte quelques difficultés à la conception de base.
1 Caractéristiques de contrainte des fondations d’atelier en acier
Les fondations des aciéries reposent généralement sur une base distincte et sont conçues pour être comprimées de manière excentrique.
Dans le cas d'installations à portique en acier de faible hauteur et sans grue, la connexion entre le pied de colonne et la fondation est généralement articulée. La surface supérieure de la base est uniquement soumise à la pression verticale générée par la superstructure et à la force horizontale générée par la force du vent. La surface horizontale inférieure générée par la charge horizontale du vent a un moment de flexion excentrique plus petit et la conception de base est relativement simple.
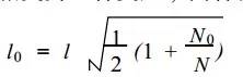
Pour les portiques haute hauteur avec poutres en acier et structures à poutres en acier avec ponts roulants, en particulier lorsque le tonnage des ponts roulants est important (deux tours simples et plus de 20 tonnes), afin d'améliorer efficacement la structure. La rigidité latérale est contrôlée pour contrôler le déplacement latéral. Le pied de colonne est généralement conçu pour être rigide latéralement et articulé longitudinalement. La charge horizontale horizontale du bâtiment d'usine est transmise à la surface supérieure de la base par l'intermédiaire du support inter-colonnes. Dans la direction horizontale, la structure en acier étant légère, elle a une longue période de vibrations naturelles et l’effet sismique horizontal est relativement faible. La charge horizontale latérale qui contrôle le contrôle est généralement la charge de freinage horizontale plus la formule du vent de la grue. La force axiale des deux tiges peut ne pas être égale. La formule est basée sur la théorie de la stabilité élastique.
Applicable à deux diagonales croisées de même longueur et de même section.
1) Traverser l'autre barre sous pression, les deux barres ont la même section et ne sont pas interrompues à l'intersection, puis:

l: entraxe des noeuds des treillis (m)
lo: longueur calculée du flambement en flexion (m)
N: Calcule la force interne de la tige (N)
Non: intersection d'une autre partie de la force interne (N)
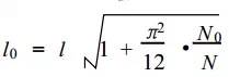
2) En croisant l'autre tige sous pression, cette autre tige est interrompue au croisement mais chevauchée par le gousset, puis:

3) En croisant l’autre tige sous tension, les deux tiges ont la même section transversale et ne sont pas interrompues au point de croisement, puis:
4) L'intersection de l'autre levier est interrompue. Ce levier est interrompu à l'intersection mais chevauche le gousset. Ensuite:
La comparaison des facteurs de longueur calculés des normes nouvelles et anciennes est présentée dans le tableau 1.
Comme on peut le voir à la table, l'ancien code est parfois conservateur et parfois moins sécurisé.
Dans l'application de la nouvelle spécification, l'auteur a découvert que les nouvelles règles sur l'acier comportent de nouvelles dispositions et méthodes de calcul pour les éléments à force axiale; les anciennes règles sont parfois conservatrices et parfois pas très sûres. Par conséquent, dans le travail de conception, tout le monde doit: pour pouvoir rester en phase avec le temps et apprendre constamment de nouvelles normes, nous pouvons réaliser un bon design économique et sûr.
2 Exigences de base pour la conception de base
La contre-force au bas de la fondation n'est pas uniformément répartie en raison de charges excentriques relativement importantes, ce qui peut entraîner une inclinaison importante de la fondation et même affecter l’utilisation normale des bâtiments de l’usine, en particulier des grues. Par conséquent, le sol de fondation sous la fondation de l’usine industrielle est soumis aux pressions suivantes:
1) Pour la fondation de colonne sans charge de grue, lorsque la charge de vent est prise en compte, la région de contrainte nulle du sol de fondation de fondation peut exister, mais le rapport entre la longueur de la région de contrainte non nulle et la longueur de base doit être satisfait simultanément L '/ L ≥ 0175 Il est également nécessaire de vérifier la résistance à la flexion du côté tendu de la dalle de fondation sous le poids de la fondation et le poids de la terre supérieure.
2) Pour la fondation de colonne soumise à des charges normales de la grue, l’existence d’une zone de contrainte nulle dans le sol de la fondation de fondation n’est pas autorisée, c’est-à-dire pmin ≥ 0. Si cette condition est remplie, l’excentricité de la base doit être e ≤ b / 6. .
3 Méthodes générales pour la conception de base
Selon la base susmentionnée des caractéristiques de force et les exigences de conception, pour le pied de colonne qui vient d’être connecté à la colonne de grue côté aciérie de la grue, lorsque le tonnage de la grue est important, si la conception de base conventionnelle est souvent choisie comme excentrique. de la taille du fond Dans les conditions de contrôle, la capacité portante de la fondation ne joue aucun rôle dans le contrôle, et l'excentricité plus grande entraînera une taille trop grande du plancher de base (parfois plus de 6 m de long), ce qui n'est pas économique et inacceptable dans le projet. Après avoir analysé et comparé certains projets spécifiques, l’auteur estime que de tels problèmes peuvent être résolus dans le processus de conception grâce aux méthodes suivantes:
3.1 Utiliser l'excentricité
Cette méthode est efficace lorsque l’excentricité de la surface de base est faible (typiquement e ≤ 015 m). Le principe est équivalent à pré-appliquer un moment de flexion inverse dans le sens de la distance de flexion la plus grande afin de réduire l’excentricité. Cependant, en raison de l'effet bidirectionnel de la charge horizontale du vent et de la charge de la grue sur le bâtiment de l'usine, il convient de sélectionner la combinaison défavorable des directions positive et négative pour la vérification et le contrôle. Le programme actuel de conception de structures en acier «STS» ne peut pas encore vérifier la base d’excentricité. Le concepteur peut sélectionner plusieurs groupes de combinaisons défavorables et les vérifier avec d’autres procédures auxiliaires telles que la «justification».
L'excentricité peut généralement réduire la taille de base, mais pour les grues avec des tonnages plus grands et les grues avec des niveaux de travail A6-A8, cette méthode doit être utilisée avec prudence.
3.2 Augmenter le poids de base supplémentaire
Cette méthode est efficace lorsque l'excentricité de la surface de base (015m
1) Augmentez la profondeur d'enfouissement de la fondation: lorsque la profondeur de la fondation augmente, le poids du sol dans la partie supérieure de la fondation augmente en conséquence et l'excentricité de la base diminue en conséquence. Dans ce cas, la fondation peut être conçue comme une fondation séparée avec une colonne courte en béton armé. La taille de la section transversale de la colonne courte est généralement déterminée par la taille du plancher du pied de la colonne en acier, et son renforcement est déterminé par calcul. Cependant, parallèlement à l’augmentation de la profondeur d’enterrement des fondations, le moment de flexion supplémentaire dû à la force de cisaillement horizontale du pied de colonne augmentera proportionnellement, de même que l’excentricité de la base. Par conséquent, les deux facteurs ci-dessus doivent être pris en compte de manière exhaustive dans la conception. Après un essai et une comparaison, une profondeur de fondation raisonnable doit être choisie.
2) Le mur d'augmentation de poids est utilisé dans la partie inférieure de la structure de protection externe de la plante: le mur peut être constitué de briques frittées non argileuses et son poids est transmis à la fondation par le biais de la poutre de sol sous le mur. L'épaisseur du mur peut être de 370 mm, hauteur du sommet de la poutre de plancher au seuil inférieur. Afin d'augmenter la hauteur du mur, le rebord inférieur peut être correctement soulevé en fonction de la situation. La poutre de sol peut être préfabriquée ou coulée en place avec la colonne courte de base. La poutre coulée sur place permet d’ajuster le tassement inégal de la fondation adjacente.
En conception technique, la combinaison des deux approches ci-dessus fonctionne mieux.
3.3 Utilisation de la fondation sur pieux
Lorsque l'excentricité du fond de la fondation est relativement grande (e> 112 m) et que la profondeur de la couche de support est profonde, la méthode ci-dessus ne peut pas être utilisée pour résoudre le problème; ou le tonnage de la grue de production est important, la surtaxe de surface pour les grandes surfaces à long terme dépasse 60 kN / m2 et le sol de fondation est moyen. Pour les sols à forte compression, les fondations sur pieux doivent être utilisées lorsque l'impact supplémentaire des pieux sur les fondations doit être pris en compte. Le type de fondation sur pieux peut être déterminé de manière complète en fonction des conditions de sol et des conditions de construction locales.
图标 下载 App

